KONTEXT:Wochenzeitung
KONTEXT:Wochenzeitung

Feuern aus vier Rohren

Feuern aus vier Rohren
|

Datum:

Der Daimler-Konzern fährt Rekordgewinne ein, sein Chef Dieter Zetsche ein Rekordgehalt (8,4 Millionen), und das beflügelt ihn zu martialischen Aussagen. Bei der Präsentation der glänzenden Bilanz im Februar sagte der 61-Jährige: "Wir feuern aus allen Rohren." Unser Autor nimmt die Rohre unter die Lupe.

An welche Rohre Zetsche genau gedacht hat, ließ er unerwähnt. Tatsache ist, dass bei Daimler der Profit aus drei, mitunter auch aus vier Rohren befeuert wird. Nummer eins zielt mit den Massen-Pkw auf die Lohnabhängigen. Nummer zwei mit der verchromten Oberklasse auf die Reichen und Vermögenden. Nummer drei mit den Nutzfahrzeugen auf die Nachfrage von Unternehmen und Nummer vier mit Rüstungsgütern auf die Nachfrage des Staates. Dieser Dauereinsatz der Rohre eins bis vier, mit einer gewissen zeitlichen Flexibilität, machte den Daimler zu dem, was er ist: zu einem der profitabelsten Konzerne.

Daimler und Rüstung

Bereits im Ersten Weltkrieg spielte der Rüstungsbereich bei den Vorgängergesellschaften des heutigen Daimler-Konzerns, bei den Unternehmen Benz und Daimler, eine herausragende Rolle. Während der NS-Herrschaft dominierte dieser Bereich das Unternehmen, das inzwischen zur Daimler-Benz AG zusammen geschlossen war. Bereits kurz vor Beginn des Zweiten Weltkriegs bestand der Daimler-Benz-Umsatz zu 90 Prozent aus Rüstungsproduktion. Der Umsatz verzehnfachte sich binnen fünf Jahren – nicht zuletzt durch den umfassenden Einsatz von Zwangsarbeit. Der Dreizackstern steht auch für die Aussage, das Unternehmen sei zu Land, in der Luft und im Wasser militärisch aktiv.

Anfang der 1970er-Jahre verkaufte der frühere NS-Förderer und Daimler-Benz-Großaktionär Friedrich Flick sein Aktienpaket an die Deutsche Bank. Damit war diese wieder – wie in der Periode 1925–1945 – wichtigster Großaktionär des Unternehmens. Mitte der Achtzigerjahre, in der Ära von Edzard Reuter als Vorstandsvorsitzendem (1987–1995), übernahm Daimler-Benz eine Reihe Rüstungshersteller, so MTU (Triebwerke), Dornier (Luft- und Raumfahrt), AEG (Elektronik) und MBB (Raumfahrt, Raketen, Panzer). Gleichzeitig beteiligte sich der Konzern an Airbus und übernahm Fokker (beides Flugzeughersteller). Die Rüstungs-, Luft- und Raumfahrt-Sektoren wurden später in der Daimler-Tochter Dasa (Deutsche Aerospace Aktiengesellschaft) zusammengefasst. Der Chef dieser Konzernsparte war Jürgen Schrempp. Dasa bildete im Jahr 2000 einen der zwei Grundbestandteile bei der Bildung des neuen, deutsch-französischen Rüstungskonzerns EADS.

Der in den 1980er-Jahren begonnene Kurs zum Wiedereinstieg von Daimler in den Rüstungssektor wurde im Wesentlichen von der Deutschen Bank begleitet, deren Chef bis 1989 Alfred Herrhausen und danach Hilmar Kopper war. Kopper agierte nach seiner Aufgabe des Chefpostens bei der Deutschen Bank im Jahr 2007 fast ein Jahrzehnt lang (1998 bis 2007) als Aufsichtsratsvorsitzender bei DaimlerChrysler. Die Deutsche Bank nahm damit eine lange Zeit in erheblichem Umfang Einfluss auf die strategischen Entscheidungen des Konzerns und bestimmte auch darüber, wer Vorstandsvorsitzender war beziehungsweise wie lange die Nummer eins bleiben durfte. 

Im Jahr 2000 veröffentlichte die Deutsche Bank, obgleich sie nur indirekt (über ihr Aktienpaket an DaimlerChrysler) an EADS beteiligt war, anlässlich der EADS-Gründung eine Broschüre mit dem Titel "A star is born". Auf der Hauptversammlung am 6. April 2005 betonte Jürgen Schrempp: "Ohne uns hätte es EADS nicht gegeben." Er verwies ausdrücklich auf die "lange Durststrecke", auf die vorausgegangenen hohen Verluste und darauf, dass man eben "keine kurzfristigen Ziele" verfolgen würde. Was eigentlich grotesk ist, da Schrempp explizit mit der Devise angetreten war, seine drei Unternehmensziele seien "Profit, Profit, Profit".

2012 begann der Ausstieg von Daimler bei EADS, die letzten Aktion verkauften die Stuttgarter 2013. Damit trennte sich das Unternehmen nach fast drei Jahrzehnten von seinen größten Beteiligungen im Rüstungsgeschäft. Der Konzern stellt aber weiterhin Rüstungsgüter her, die auf einer von dem zivilen Unternehmen säuberlich getrennten Internetplattform präsentiert werden (siehe: <link http: www.mb-military-vehicles.com _blank>www.mb-military-verhicles.com). Er belieferte und beliefert Diktaturen mit militärischen Ausrüstungen – so Libyen unter Gaddafi, das monarchisch-autokratische Regime von Saudi-Arabien und die ägyptischen Militärs.

Daimler als Nutzfahrzeughersteller

Die Fertigung von Lastkraftwagen, Bussen, Sattelschleppern und anderen Nutzfahrzeugen gab es zu allen Zeiten in der Konzerngeschichte. Sie stellt bei Daimler traditionell eine stark ausgeprägte Sparte dar. Ihr Umsatz macht zwischen 25 und 40 Prozent des gesamten Konzernumsatzes aus. Die Sparte Nutzfahrzeuge wird repräsentiert von folgenden Marken: Setra (Busse Europa), Thomas Built (Schulbusse USA), Orion (Stadtbusse USA), Mercedes-Benz (Busse und Lkw weltweit), Freightliner und Western Star Trucks (Lkw in Nordamerika), Fuso (Lkw in Japan und in anderen Teilen von Asien), BharatBenz (Lkw in Indien) und Auman (Lkw in China, die Daimler dort zusammen mit dem Partner Foton baut).

Der Bereich Nutzfahrzeuge weist naturgemäß die geringsten konjunkturellen Schwankungen auf: Transporte finden zu allen Zeiten statt. Die Globalisierung und die ständig steigende "Transportintensität" sind ein wesentlicher Treibsatz für diese Sparte. Das Busgeschäft wächst zudem in dem Maß, wie die Eisenbahnen privatisiert und zerstört und wie der Busfernverkehr liberalisiert werden. Die Annahme liegt nicht fern, dass Daimler auf diese Verkehrs- und Bahnpolitik im Konzerninteresse Einfluss nimmt. Seit 1990 kamen drei von vier Bahnchefs (Heinz Dürr, Hartmut Mehdorn und Rüdiger Grube) aus der Daimler-Kaderschmiede. Unter Grube kaufte die Deutsche Bahn AG 2013 für gut drei Milliarden Euro Arriva, den größten Betreiber von Busfernverkehrslinien in Europa. Fast zeitgleich erfolgte in Deutschland die Liberalisierung des Busfernverkehrs. Die Deutsche Bahn ist auch in Deutschland im Busfernverkehr engagiert und betreibt zunehmend Busfernverkehrsstrecken in Konkurrenz zu bestehenden (oder dann eingestellten) Schienenverbindungen.

Daimler und Luxus

Als im Mai 2013 die neue S-Klasse vorgestellt wurde, gab es in den Medien einiges Geraune über den Umstand, dass das Vorzeige-Exemplar mit einem Airbus A 300 von Stuttgart nach Hamburg geflogen und auf der Airbus-Werft in Finkenwerder zur Weltpremiere vorfuhr. All das dokumentiere, so Zetsche, dass Daimler in diesem obersten Segment "die Lufthoheit" habe. Sicher ist, dass der Konzern auf diesem Gebiet eine Rekordrendite einfährt. Von Margen bis zu 40 Prozent ist die Rede; davon, dass die S-Klasse mit jährlich "nur" rund 90 000 hergestellten Pkw mehr als eine Milliarde Euro an Gewinn pro Jahr einfahre.

Die Abteilung Luxus war bei Daimler-Benz traditionell immer ein Schwerpunkt, zumal in Westeuropa Pkw bis Ende der Fünfzigerjahre kaum Massenprodukt waren und zu einem großen Teil auf Luxuskonsum zielten. In der Phase 1949 bis Ende der Achtzigerjahre war der Konzern in besonderem Maß von dieser "Abteilung" bestimmt. Anders als die Autohersteller VW, GM (mit seinen Töchtern Opel und Vauxhall) und Ford, die bereits sehr früh auf die kaufkräftige Massennachfrage orientierten, konzentrierte sich Daimler-Benz auf teure Pkw.

Die Produktion von Luxus-Pkw stellt in so gut wie allen Zeiten kapitalistischer Konjunktur ein gutes Absatzgebiet dar. Insbesondere aber in Krisenzeiten, wie wir sie seit den 1980er-Jahren erleben, in denen die Massenkaufkraft kaum mehr wächst und der Reichtum explodiert, bilden Luxus-Pkw eine Profitgarantie. Das hat der ehemalige Boss von Chrysler, Lee A. Iacocca, bereits Anfang der Achtzigerjahre gut beschrieben: "Um sich abzusichern, braucht man ... Autos der Luxusklasse, denn man weiß ja nie, wann der kleine Mann seinen Job verliert. Auf eines scheint man sich selbst während einer Rezession verlassen zu können, nämlich, dass die Reichen immer reicher werden. Deshalb muss man für die immer Leckerbissen bereit halten."

Wie stark Daimler auch heute noch auf das Luxussegment abzielt, zeigt der folgende Vergleich: Im Jahr 2015 liegt in Deutschland der durchschnittliche Preis für einen neuen Pkw bei 27 189 Euro. Der durchschnittliche Preis für einen Pkw der Marke Mercedes liegt bei 42 040 Euro. Bei VW beträgt der durchschnittliche Pkw-Preis 24 400 Euro, was knapp 60 Prozent des Daimler-Werts entspricht. Bei den VW-Töchtern Skoda und Seat und bei Opel sind es sogar nur jeweils rund 20 000 Euro, was der Hälfte des durchschnittlichen Preises eines Daimler-Pkw entspricht.

Daimler als Massenhersteller

In der zweiten Hälfte der 1990er-Jahre und mit dem Antritt des lang gedienten Daimler-Mannes Jürgen Schrempp als neuem Vorstandsvorsitzenden wurde ein neuer Umbau des Konzerns gestartet. Daimler wurde zum Massenhersteller von Pkw – und zielte damit, wenn auch "nur" für knapp ein Jahrzehnt – überwiegend auf die kaufkräftige Massennachfrage. Die Fertigung von Mercedes-Pkw der mittleren Preisklasse (A-, B- und C-Klasse) spielt eine wachsende Rolle, die Kleinwagen-Marke Smart wurde entwickelt. 

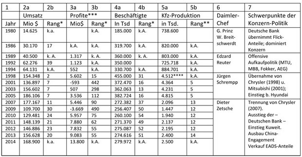
1998 übernahmen die Stuttgarter den drittgrößten, damals hochprofitablen US-Hersteller Chrysler, der vor allem Pkw für den Massenmarkt, zunehmend aber auch bereits SUVs herstellte. Zwei Jahre später folgte der Einstieg bei dem japanischen Massenhersteller Mitsubishi Motors (MMC), danach beim größten südkoreanischen Autobauer Hyundai. In dieser Periode, in der Schrempp von der "Welt-AG" sprach, lag Daimler kurze Zeit auf Rang zwei der größten Unternehmen der Welt. Mit 4,5 Millionen hergestellten Pkw erreichte der Konzern formell Rang sechs unter den weltweit größten Autoherstellern. Berücksichtigt man, dass Daimler zeitweilig bei Mitsubishi auch die operative Führung innehatte und dort den CEO stellte, wären die rund 1,4 Millionen Mitsubishi-Pkw hinzuzurechnen, womit Daimler mit 6,2 Millionen Kfz kurze Zeit hinter GM und Toyota und weitgehend gleichauf mit Ford der dritt- beziehungsweise viertgrößte Kfz-Hersteller der Welt war. Die Orientierung auf Massenproduktion wurde spätestens mit dem Ausstieg bei Chrysler 2007 massiv zurückgefahren.

Die Bosse kommen und gehen

Interessant ist, wie in der Öffentlichkeit die Daimler-Bosse immer mit einzelnen Phasen des Konzerns identifiziert werden. Unter Reuter war es der "integrierte Technologiekonzern", unter Schrempp die "Welt-AG" und unter Zetsche die "Rückbesinnung auf die Kernmarke". In Wirklichkeit fielen die strategischen Entscheidungen anderswo – zum Beispiel bei der Deutschen Bank. Oder sie wurden durch Veränderungen des Weltmarkts herbeigeführt. Und für diese unterschiedlichen Phasen der Profitproduktion wurden dann entweder die entsprechenden Führungspersonen gefunden – oder die Topmanager passten sich den neuen Anforderungen an. So war Schrempp ein treuer Diener seines Herrn Reuter und unter diesem der Chef des Rüstungsbereichs Dasa. Doch als er an die Daimler-Spitze geholt wurde und gemäß den Vorgaben der Deutschen Bank die Orientierung Welt-AG betrieb, da rechnete er gnadenlos mit Reuter und dessen Vision des "Technologie-Konzerns" ab.

Zetsche wiederum war ein Untergebener in Schrempps Daimler-Reich. Er war Chef von Chrysler, als dieser US-Autohersteller zum Stuttgarter Imperium gehörte. Doch als er an die Daimler-Spitze rückte, kippte er emotionslos Chrysler aus dem Konzernverbund und warf den US-Autohersteller einer Heuschrecke mit Namen Cerberus in den Schlund. Ähnlich wie zuvor Schrempp mit der Reuter-Ära abgerechnet hatte, wurde jetzt unter Zetsche das Chrysler-, Mitsubishi- und Hyundai-Engagement als Irrweg abgetan und als eine Art Schrempp-Spleen präsentiert.

Der Ausstieg bei Chrysler und Mitsubishi kennzeichnete wieder eine profitgetriebene Neuorientierung und eine geografische Neujustierung. Die Neuorientierung meinte ein massives Zurückfahren als Massenhersteller von Pkw der mittleren Klasse. Die zunehmenden Krisenerscheinungen und die weltweit verstärkte neoliberale Politik mit der Stagnation und den Rückgängen der Massenkaufkraft in Nordamerika, Japan und Europa lieferten für diese Konzernpolitik gute Gründe. Der Umsatz wurde von 177 auf 110 Milliarden Dollar radikal reduziert und die Zahl der gefertigten Kraftahrzeuge mehr als halbiert. 

Diese deutliche Kehrtwende machte vor allem in Kombination mit der geografischen Neujustierung Sinn. Die USA erlebten seit Ende der 1990er-Jahre auf wirtschaftlicher und politischer Ebene einen erheblichen Bedeutungsverlust. Der japanische Kapitalismus durchläuft gar eine seit 15 Jahren anhaltende Stagnations- und Depressionsperiode. Gleichzeitig stieg China zur neuen Weltmacht auf – nicht zuletzt als Kfz-Produzent und als weltweit größter Absatzmarkt für Pkw. Ein deutscher Daimler-Konzern, der mit einem großen japanischen Hersteller verbunden ist, wäre hier bereits ein Problem gewesen. Eine Verbindung mit Mitsubishi, der Inkarnation des japanischen Imperialismus und der japanischen Rüstungsindustrie, hätte sich als ein enormes Hindernis beim groß angelegten Eintritt in den chinesischen Markt erwiesen.

So ist Zetsches Rückbesinnung auf die "Kernmarke" zu verstehen. Tatsächlich steht Daimler in seiner aktuellen Phase vor allem für die – späte – Erkenntnis des Stuttgarter Topmanagements, dass die neue Schlacht in China geschlagen wird. Seitdem findet eine gnadenlose Aufholjagd statt, bei der Daimler vor allem mit Audi und BMW konkurriert. Bei Zetsches Antritt 2007 lag der Anteil, den der chinesische Markt am gesamten Daimler-Umsatz ausmachte, bei rund drei Prozent. 2010 waren es fünf und 2014 bereits rund 20 Prozent. 2015 dürfte die VR China mit rund 25 Prozent und mehr als 250 000 verkauften Kraftfahrzeugen erstmals den größten Absatzmarkt des Konzerns überhaupt darstellen – größer als Deutschland, größer als die USA und größer als Westeuropa ohne Deutschland. 

Wobei auch für Daimler in China gilt: Es wird aus allen vier Rohren geschossen. Daimler ist in China präsent mit Nutzfahrzeugen – mit der Marke Auman, mit Lkw, die von Daimler gemeinsam mit dem Daimler-Partner Foton produziert werden. Daimler ist über die 12-Prozent-Beteiligung an chinesischen Autohersteller BAIC im Sektor Massenherstellung von Mittelklasse-Pkw engagiert. Daimler erzielt schließlich in China die größten Umsatzanteile mit Automobilen der Luxusklasse. Schließlich existiert eine Verbindung von Daimler zum chinesischen Rüstungsunternehmen und Waffenexporteur Norinco.

 

Im März erscheint das Sonderheft "Lunapark 21-Extra" zum Thema "DaimlerWelt – AutoWelt".

Für S-KLasse- und Literatur-Fans empfehlen wir zur Abrundung des Themas eine Kontext-Produktion mit der Filmhochschule Lazi-Akademie aus Esslingen:

ERROR: Content Element with uid "3113" and type "media" has no rendering definition!


Gefällt Ihnen dieser Artikel?
Unterstützen Sie KONTEXT!
KONTEXT unterstützen!

Verbreiten Sie unseren Artikel
Artikel drucken


5 Kommentare verfügbar

  • Blinkfeuer
    am 04.03.2015
    Antworten
    Hier also auch die post- Charlie- Löschbrigade im Einsatz, Chappi!
    Bin dann weg............
Kommentare anzeigen  

Neuen Kommentar schreiben

KONTEXT per E-Mail

Durch diese Anmeldung erhalten Sie regelmäßig immer Mittwoch morgens unsere neueste Ausgabe unkompliziert per E-Mail.

Letzte Kommentare:






Die KONTEXT:Wochenzeitung lebt vor allem von den kleinen und großen Spenden ihrer Leserinnen und Leser.
Unterstützen Sie KONTEXT jetzt!